Обґрунтування щодо необхідності встановлення тарифу на послугу з постачання теплової енергії та на теплову енергію, її виробництво, транспортування та постачання, для всіх категорій споживачів по Комунальному підприємству «Теплоенерго»
На виконання чинного законодавства комунальне підприємство «Теплоенерго» Лозівської міської ради Харківської області провело розрахунок послуги з постачання теплової енергії для всіх категорій споживачів відповідно до Закону України «Про житлово-комунальні послуги» від 09.11/2017р. №2189-VIII, Постанови Кабінету Міністрів України від 01.06.2011р. № 869 зі змінами «Про затвердження Порядку формування тарифів на теплову енергію, її виробництво, транспортування та постачання, послуги з постачання теплової енергії і постачання гарячої води», Наказу Міністерства регіонального розвитку, будівництва та житлово- комунального господарства України від 12.09.2018р. № 239 «Про затвердження Порядку розгляду органами місцевого самоврядування розрахунків тарифів на теплову енергію, її виробництво, транспортування та постачання, а також розрахунків тарифів на комунальні послуги, поданих для їх встановлення» на наступний опалювальний період 2025-2026рр.
Встановлення економічно обґрунтованих тарифів на послугу з постачання теплової енергії та на теплову енергію її виробництво, транспортування та постачання на рівні, який покриває всі витрати підприємства, є вимогою чинного законодавства України (Законів України «Про ціни та ціноутворення», «Про теплопостачання», «Про державне регулювання у сфері комунальних послуг»).
Тарифи формуються окремо для кожного виду діяльності з урахуванням наступних категорій споживачів: населення, бюджетні установи, інші споживачі.
Основні фактори впливу на зміну тарифів:
- збільшення вартості електричної енергії;
- збільшення прожиткового мінімуму для працездатних осіб;
- збільшення інших витрат (зміна ставок податків, витрат на матеріали, тощо) у зв’язку з інфляційними процесами.
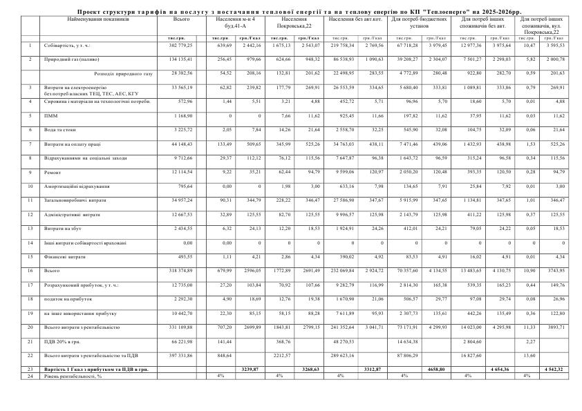
Розрахункові тарифи наведені в Таблиці
|
Категорія споживачів |
Затверджений тариф, грн/Гкал (з ПДВ) |
Проект тарифу, грн/Гкал (з ПДВ) |
Відхилення,% |
|
Послуга з постачання теплової енергії для населення |
3059,30 |
3312,87 |
+8,29 |
|
Послуга з постачання теплової енергії для населення (вул. Покровська 22) |
3055,09 |
3268,63 |
+6,99 |
|
Послуга з постачання теплової енергії для населення (м-н 4, буд 41а) |
3040,38 |
3239,87 |
+6,56 |
|
Теплова енергія для бюджетних установ |
4556,98 |
4658,80 |
+2,23 |
|
Послуга з постачання теплової енергії та теплова енергія для інших споживачів |
4552,38 |
4654,36 |
+2,24 |
|
Послуга з постачання теплової енергії для інших споживачів (вул. Покровська 22) |
4454,25 |
4542,32 |
+1,98 |
